heartstethoscope
1 60
首页 健康 大千世界 校友
师生

旅游摄影

关于本网

- 知识就是力量 • 快乐有益健康

预期寿命

《万维读者网》 姚鸿恩-双语教学研究 11/15/2014

世界各地,女性普遍比男性长寿。根据世界卫生组织2014年的预期寿命(lifeexpectancy) 估算,长寿国家(地区)排名第1的日本,女性为87.3岁,男性为82岁。香港排名第4,女性为85.6岁,男性为82岁。台湾排名第29,女性为83.2岁,男性为78岁。美国排名第34,女性为82.2岁,男性为77.4岁。中国(大陆)排名第64,女性为77岁,男性为74岁。排名最末的是非洲的塞拉利昂(SierraLeone),女性为48岁,男性为47岁。

  统计数字反映的是整体情况,男性比女性长寿亦大有人在。最著名的例子是杨振宁教授。其发妻杜致礼于2003年10月离世,而生于1922年10月1日的杨振宁,今年已经过了92岁生日。2010年,杨振宁在新加坡出席一次会议时对记者说,他已经到了米岁,“我要活到108岁。”米,上下两个八,中间一个十,米岁即88岁。108岁,叫茶岁。茶,上面是二十八,下面是八十,一共是108。杨振宁说,“到我茶岁的时候,翁帆还很年轻,再过20年,翁帆54岁,还是风韵犹存。”

  杨振宁何以预知自己的寿命呢?他说,他查过资料。什么资料呢?据我所知,美国政府定期公布各种有关美国人寿命的资料,其中社会保障(SocialSecurity)部门公布的时期生命统计表(Periodlife table),每个人都可从中查看预期寿命,也就是说,还可以活多久。

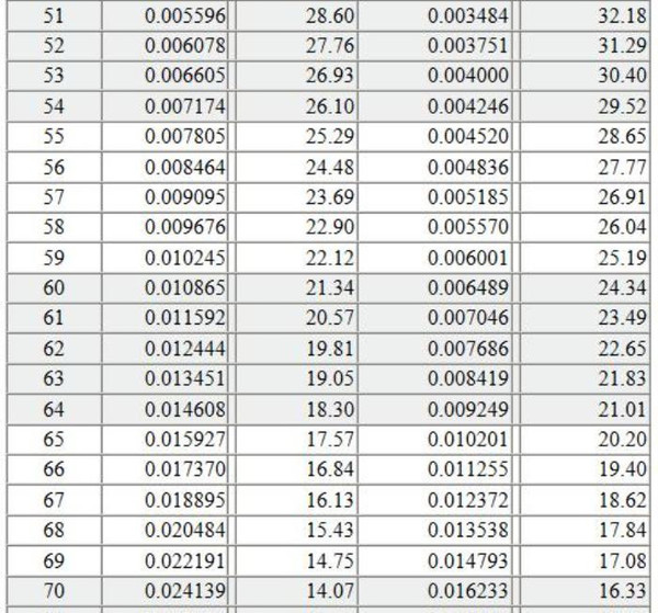
  有人可能会想,这还需要什么查表?若预期寿命为80岁,现在50岁,那就是还能活30年。事实上,没有那么简单。精算师就是干这活的,平均年薪超过10万美元。预期寿命是从零岁开始算的,前面引用的日本等国家(地区)的预期寿命都是以零岁为起点的。而后,每年减掉的,并不是每年1岁,而是小于1岁。大多数的人,通常都比预期寿命活得长一些。下面,以美国社会保障部门2010年的生命表为例,加以说明。为了简洁实用,我去掉了生者数目(Numberof lives)和一些年龄段。

  从表中可查知,实际年龄(Exact age)为0,男性(Male),死亡概率0.006680,预期寿命(Lifeexpectancy)为76.10;女性(Female),死亡概率0.005562,预期寿命(Lifeexpectancy)为80.94。到了实际年龄5岁,男性预期寿命为71.70,也就是说还可以活71.7年,那么,整个寿命就是5岁加上71.7岁,即76.7岁,比零岁起算的76.10多0.6岁。同样,女性预期寿命为76.47岁,也就是说还可以活76.47年,那么,整个寿命就是5岁加上76.47岁,即81.47岁,比零岁起算的80.94多0.53岁。

  若家有老人70岁,男性预期寿命为14.07岁,整个寿命就是84.07岁,远远超过零岁起算的76.10。若是女性,预期寿命为16.33岁,整个寿命就是86.33岁,远远超过零岁起算的80.94岁。

  此表格的统计数到119岁为止。根据此表格,杨振宁每年都可以预知自己的预期寿命。

  此表格虽然是美国人用的,其实中国人也完全可参考查看。也就是说,也可以跟杨振宁一样预知预期寿命。从整个国家来说,中国的预期寿命低于美国的,但是,那是因为有些地区贫困多病等原因而拖了后腿。中国多数地区的预期寿命跟美国的不相上下,有些地区是超过美国的。如据2013年的统计,上海的预期寿命,男性为80.18岁,女性为84.67岁。

1
2
3
4

30 预期生命计算器 (Life Expectancy Calculator)

1

hr

lsavelifellongevity

8
南开校友/各界朋友信息交流网站

newyearwish

| Contact 联系 | Last Revised 09/05/2021 |
©2008-2014 OURENGLISH, NONPROFIT WEBSITE | POWERED BY BLUEHOST.COM